728x90
1. 그래프 G = (V, E)
| V(vertex) | 정점 : 연결할 객체를 나타내는 것 |
| E(edge) | 모서리 : 한쌍의 정점을 이은 것 |
graph란?
연결되어있는 원소간의 관계를 표현한 자료구조
즉, 정점과 간선의 집합
2. 그래프의 종류
| 종류 | 설명 |
| 무방향 그래프(undirected graph) | 간선에 방향이 없는 그래프 임의의 모서리 (x, y)∈E 이면 (y, x)∈E 를 만족한다. 즉, (x, y)와 (y, x)는 같은 간선을 나타낸다. |
| 방향 그래프(directed graph) = 다이그래프(digraph) |
간선에 방향이 있는 그래프 = i → j = <i,j>로 표현 임의의 모서리 (x, y)∈E 이면 (y, x)∈E 를 만족하지 않는다. |
| 완전 그래프(complete graph) | 한 정점에서 다른 모든 정점과 연결되어 최대의 간선 수를 가진 그래프 |
| 부분 그래프(subgraph) | 원래의 그래프에서 일부 정점이나 간선을 제외하여 만든 그래프 |
| 가중 그래프(weight graph) | 간선에 가중치를 부여한 그래프 |
| 비가중 그래프(unweight graph) | 모든 간선이나 정점의 가치가 똑같은 그래프 |
| 순환 그래프(cycle graph) | 사이클이 존재하는 그래프 |
| 비순환 그래프(acyclic graph) | 사이클이 존재하지 않는 그래프 ◆ Tree = 연결 비순환 무방향 그래프(connected acyclic undirected graph) - 어떤 모서리를 끊어내도 두 개의 작은 트리가 만들어진다.(재귀적인 구조) ◆ DAG = 방향성 비순환 그래프(directed acyclic graph) - 위상 정렬(topological sorting) : 우선순위를 고려해서 DAG의 정점을 정렬 |

◆ 완전 그래프 - 간선의 수 ◆
무방향 그래프 = n(n-1)/2
무방향 그래프는 두 정점 사이에 간선이 1개만 존재할 수 있다.
그러나 방향 그래프는 두 정점 사이에 2개의 간선이 존재하므로 무방향 그래프의 2배이다.
방향 그래프 = n(n-1)
3. 그래프 용어 정리
- 두 정점 i와 j 사이에 연결된 간선(i,j)이 있으면 i와 j는 인접(adjacent)되어 있다.
- 이때, 간선(i,j)은 두 정점 i와 j에 부속(incident)되어 있다.
- 이때, 간선(i,j)은 두 정점 i와 j에 부속(incident)되어 있다.
- 정점(vertex)
- 머리(head) : 화살표의 머리가 있는 정점
- 꼬리(tail) : 화살표의 꼬리가 있는 정점
- i → j 일 경우 i가 꼬리 정점, j가 머리 정점이다.
- 차수(degree) : 정점에 부속되어 있는 간선의 수 = 즉, 정점에 연결되어 있는 모서리의 수
- 무방향 그래프 차수
- 모든 정점의 차수 합 = 모서리의 개수 * 2
- 즉, 차수가 홀수인 정점의 개수는 반드시 짝수이다.
- 방향 그래프의 정점의 차수 = 진입 차수 + 진출 차수
- 진입 차수(in-degree) : 정점을 머리로 하는 간선의 수
- 진출 차수(out-degree) : 정점을 꼬리로 하는 간선의 수
- 진입 차수를 모두 더한 값 = 진출 차수를 모두 더한 값
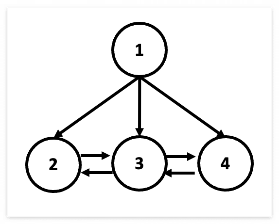
- 무방향 그래프 차수

정점 2의 진입 차수=2, 진출 차수 = 1, 차수 = 2+1 = 3
- 경로(path) : 간선을 따라갈 수 있는 길을 순서대로 나열한 것
- 경로 길이(path length) : 경로를 구성하는 간선의 수
- 단순 경로(simple path) : 모두 다른 정점으로 구성된 경로
- 사이클(cycle) : 단순 경로 중 시작 정점과 끝 정점이 같은 경로
- DAG(Directed Acycllic Graph) : 방향 그래프이면서 사이클이 없는 그래프
- 그래프에서 두 정점 i와 j 까지의 경로가 존재하면 정점 i와 j는 연결(connected)되어 있다.
- 연결 그래프(connected graph) : 서로 다른 모든 쌍의 정점들 사이에 경로가 있는 그래프
즉, 떨어져 있는 정점이 없는 그래프 - 단절 그래프(disconnected graph) : 연결되지 않는 정점이 있는 그래프
- 연결 그래프(connected graph) : 서로 다른 모든 쌍의 정점들 사이에 경로가 있는 그래프
728x90
'자료구조 > Graph' 카테고리의 다른 글
| [graph] 깊이 우선 탐색(DFS, Depth First Search) (0) | 2023.03.06 |
|---|---|
| [graph] 인접 리스트로 방향 그래프 구현하기 (0) | 2023.03.04 |
| [graph] 인접 리스트로 무방향 그래프 구현하기 (2) | 2023.03.04 |
| [graph] 인접 배열로 방향 그래프 구현하기 (0) | 2023.03.04 |
| [graph] 인접 배열로 무방향 그래프 구현하기 (0) | 2023.03.04 |